
021/2026 calificaciones de REDIMENSIONAMIENTO DE LOS PROCESOS AGROAMBIENTALES CON ÉNFASIS EN LA PROTECCIÓN DEL MEDIO AMBIENTE Y LA MADRE TIERRA
28/01/2026, 19:09:59
Unidad de Capacitación
021/2026
En estricto cumplimiento de las disposiciones académicas, establecidas en los artículos 41 y 42 del Reglamento Específico de la Unidad de Capacitación, se publica la planilla de calificación de la actividad denominada:
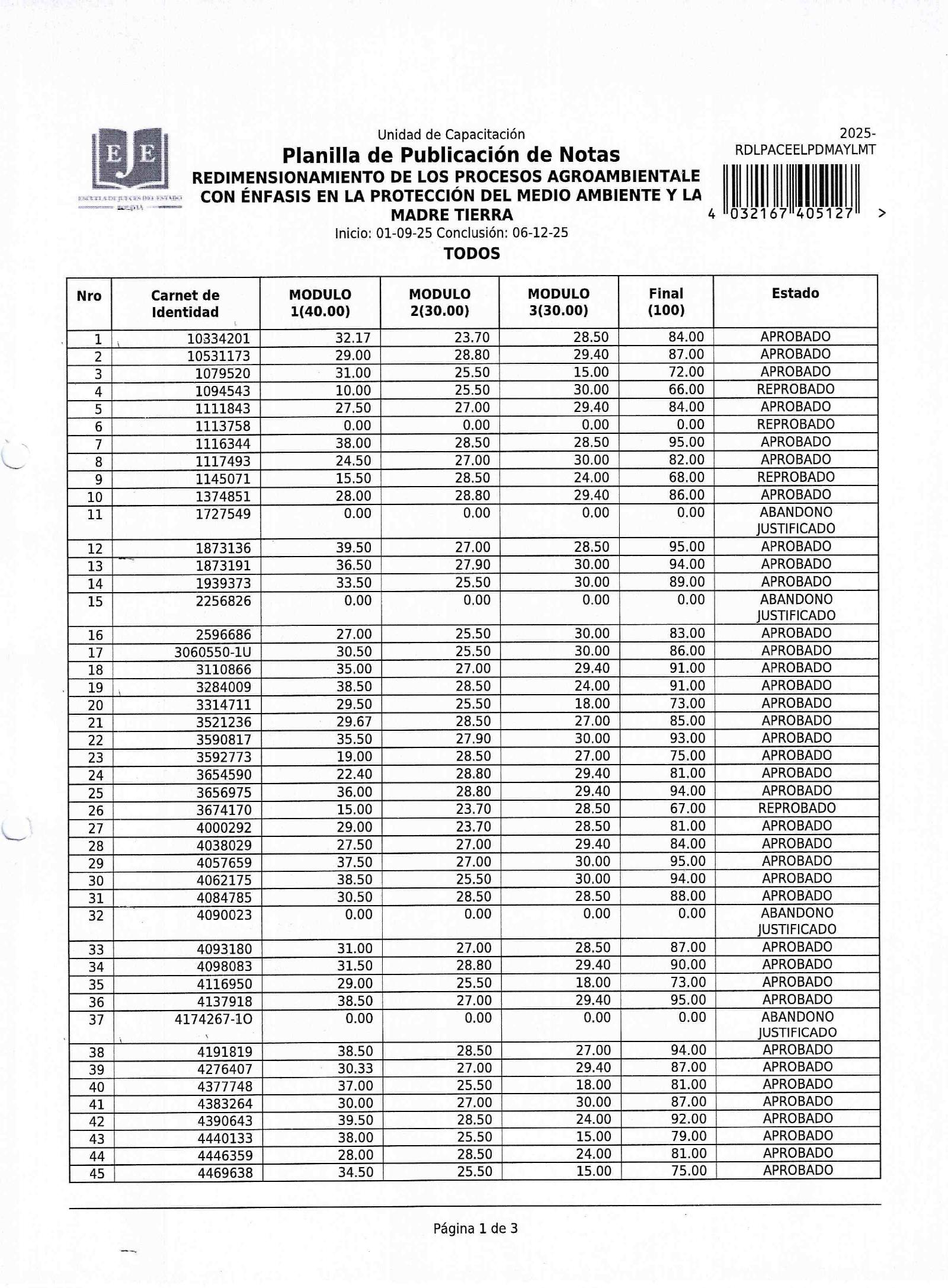
“REDIMENSIONAMIENTO DE LOS PROCESOS AGROAMBIENTALES CON ÉNFASIS EN LA PROTECCIÓN DEL MEDIO AMBIENTE Y LA MADRE TIERRA”
Las planillas podrán descargarse a continuación:
Del mismo modo, hacer conocer a las y los interesados que, disponen de un plazo de 2 (dos) días hábiles, a partir de la publicación y sea del jueves 29 y viernes 30de enero de la gestión 2026.
Así también, las impugnaciones únicamente se realizarán mediante el Sistema Integrado de Gestión Académica – SIGA, por lo que los participantes deberán ingresar al siguiente enlace: https://estudiantes.eje.gob.bo/
¡SUSCRÍBETE!
Recibe en tu correo electrónico las últimas publicaciones de la página.






