
004/2026 • “LOS ACTOS DE COMUNICACIÓN EN LOS PROCESOS FAMILIARES: SUS PROCEDIMIENTOS, CONTROL DE LEGALIDAD DEL MANDAMIENTO DE APREMIO Y JURISPRUDENCIA RELEVANTE”
Hace 3 horas
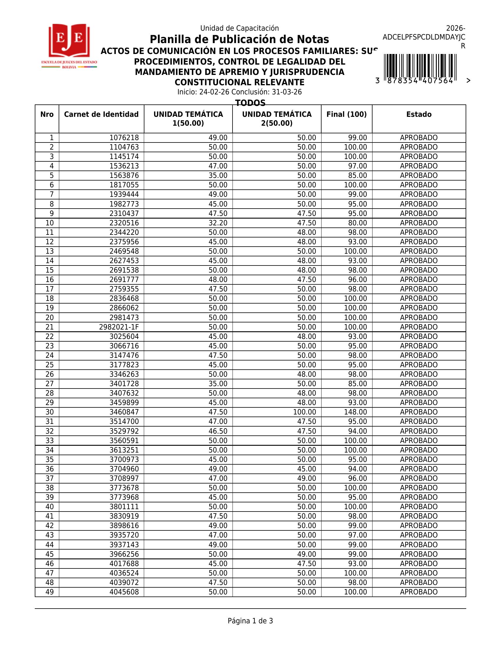
Unidad de Capacitación
004/2026
En estricto cumplimiento de las disposiciones académicas, establecidas en los artículos 41 y 42 del Reglamento Específico de la Unidad de Capacitación, se publica la planilla de calificación de la actividad denominada:
“LOS ACTOS DE COMUNICACIÓN EN LOS PROCESOS FAMILIARES: SUS PROCEDIMIENTOS, CONTROL DE LEGALIDAD DEL MANDAMIENTO DE APREMIO Y JURISPRUDENCIA RELEVANTE”
Las planillas podrán descargarse a continuación:
Del mismo modo, hacer conocer a las y los interesados que, disponen de un plazo de 2 (dos) días hábiles, a partir de la publicación y sea del jueves 16 al viernes 17 de abril de la gestión 2026.
Así también, las impugnaciones únicamente se realizarán mediante el Sistema Integrado de Gestión Académica – SIGA, por lo que los participantes deberán ingresar al siguiente enlace: https://estudiantes.eje.gob.bo/
¡SUSCRÍBETE!
Recibe en tu correo electrónico las últimas publicaciones de la página.



