
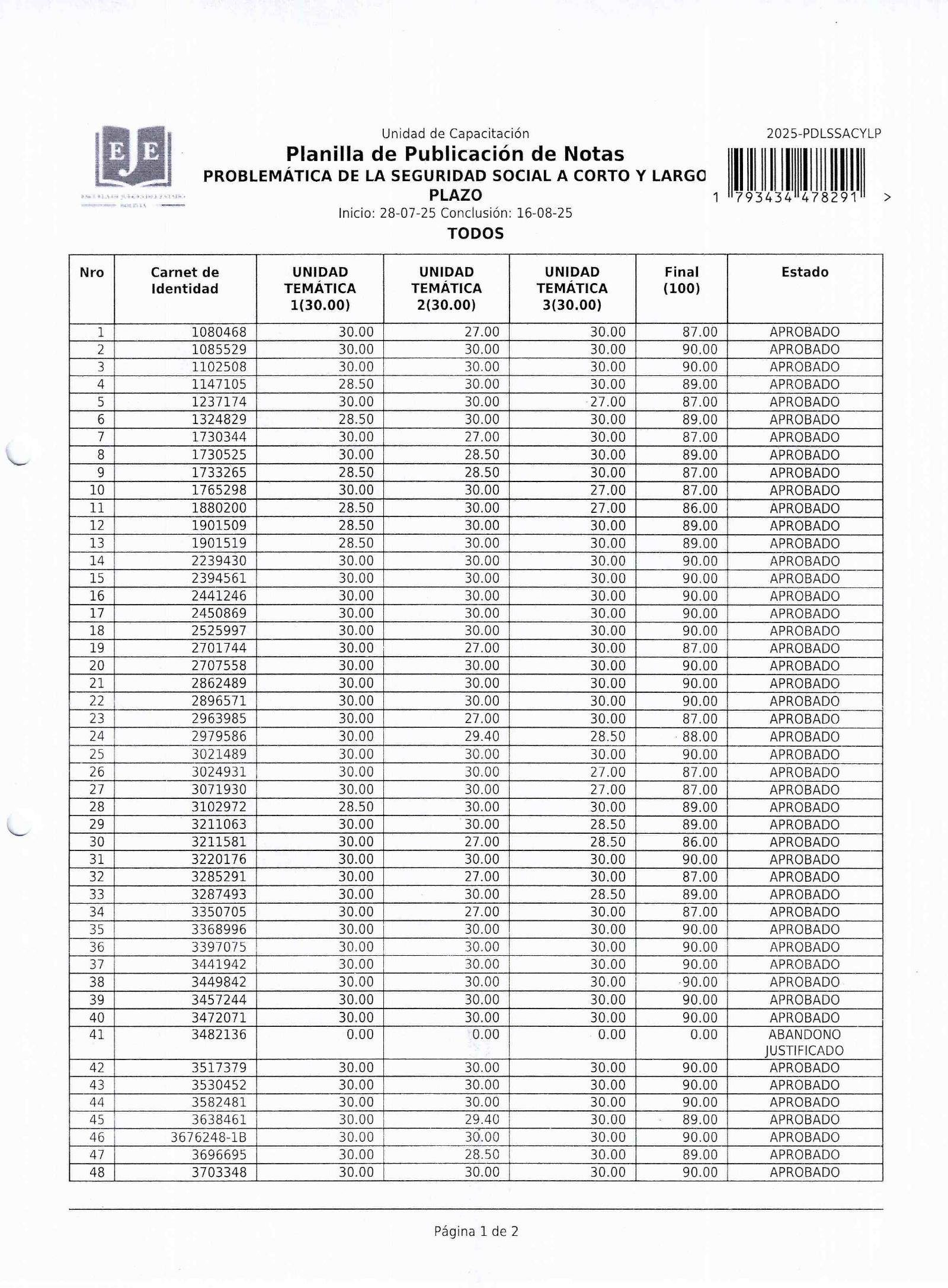
017/2025• “PROBLÉMATICA DE LA SEGURIDAD SOCIAL DE CORTO Y LARGO PLAZO”
20/10/2025, 15:27:32
Unidad de Capacitación
017/2025
En estricto cumplimiento de las disposiciones académicas, establecidas en los artículos 41 y 42 del Reglamento Específico de la Unidad de Capacitación, se publica la planilla de calificación de la actividad denominada:
“PROBLÉMATICA DE LA SEGURIDAD SOCIAL DE CORTO Y LARGO PLAZO”
Las planillas podrán descargarse a continuación:
Del mismo modo, hacer conocer a las y los interesados que, disponen de un plazo de 2 (dos) días hábiles, a partir de la publicación y sea del martes 21 al miércoles 22 de octubre de la gestión 2025.
Así también, las impugnaciones únicamente se realizarán mediante el Sistema Integrado de Gestión Académica – SIGA, por lo que los participantes deberán ingresar al siguiente enlace: https://estudiantes.eje.gob.bo/
¡SUSCRÍBETE!
Recibe en tu correo electrónico las últimas publicaciones de la página.






